首页 >> 新闻动态 >> 图片新闻

图片新闻

长颈鹿类食性特征

发表日期:2016-08-09来源:放大 缩小

  

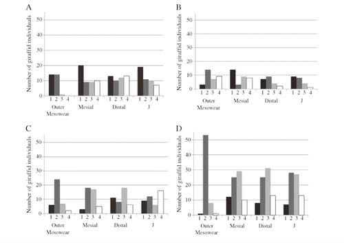
1 化石长颈鹿牙齿中磨痕变量类型统计图; A,Samos地点;B,Pikermi地点;C,临夏盆地;D,中国北方(侯素宽供图) 

 

2 化石长颈鹿食性类型分布图(侯素宽供图)

  

3  化石和现生长颈鹿类的食性(复原图由陈瑜绘制) 

  中科院古脊椎所的侯素宽博士与美国纽约理工学院医学院、美国自然历史博物馆的研究团队合作,采用两种牙齿中磨痕方法,对中国北方和希腊的长颈鹿类化石进行了综合的食性分析和对比,以侯素宽博士为通讯作者的相关研究成果近期发表在国际刊物《古地理、古气候、古生态》(2016,Vol.449: 194-204)上。 

  食草动物的食性可以直观地反映动物生活期间的古植被情况,进而用于推测动物生存时代的古环境。不同类型的食性分析方法可以反映不同时间尺度上的食性变化。其中,肉眼可见的中磨痕(mesowear)可以反映个体在一段时间内(几十天)到一年左右的饮食偏好,因其具有操作的便利性、经济性和预测的准确性,成为近年来广为应用的食性分析方法。传统的中磨痕方法以有蹄类第二个臼齿的颊侧齿尖为研究对象,根据齿尖高度及磨耗状态划分出不同的磨耗类型,进而推测有蹄类的食性。新的牙齿中磨痕方法则适应于牙齿釉质磨耗后呈带状的类型,研究区域位于臼齿咬合面颊侧的第二个釉质带上,根据不同的磨耗形态划分为四个类型,分别代表典型的食嫩叶的类型(browser)、混合类型(mixed-browsermixed-grazer)以及典型的食草类型(grazer)。 

  现生长颈鹿科只有长颈鹿和霍加狓两个属,二者均以嫩叶为食,霍加狓的食物中可能还包括一部分水果的成分。而晚中新世的长颈鹿科化石则发现了超过15个种,食性具有很大的变异范围。为了检验化石类型的食性,研究团队以8个食性确定的现生反刍类属种统计数据为基础,对190件化石长颈鹿类标本进行了牙齿中磨痕数据采集,运用判别函数分析方法分析了新旧两种中磨痕方法的四个变量,进而对化石长颈鹿类的食性进行了推测和对比。  

  研究结果显示,希腊(Pikermi地点和Samos地点)的长颈鹿类化石含大量的食草类型,而中国(中国北方和临夏盆地)的长颈鹿类化石则包含更多的混合食性类型。这表明在晚中新世,受地中海气候影响的希腊可能较受东亚季风影响的中国的气候更加湿润。 

  此项研究得到中国国家自然科学青年基金项目和Nikos Solounias个人资助。 

附件:
Baidu
map